【XM外汇资讯】美联储9月如期暂停加息 预计年内还有一次加息

2023-09-21 14:58:09

  据央视新闻9月21日消息,美联储暂停加息,符合市场预期。

  但美联储在决议措辞中保留了未来继续加息的可能性。点阵图显示,多数FOMC委员预计年内还会再有一次加息,政策制定者还认为,明年宽松程度将有所降低。

  美联储主席鲍威尔也并未安抚市场,他表示,美联储准备在适当的情况下进一步加息,虽然强调将会“谨慎行事”。在鲍威尔讲话后,美股尾盘一路震荡走低,上演“跳水”,截至北京时间9月21日05:00,美股三大指数集体收跌。纳指下跌209点,跌幅1.53%,标普500指数跌0.94%,道指跌0.22%。

  大型科技股普跌,谷歌跌超3%,奈飞微软英伟达苹果等跌逾2%,亚马逊、Meta、特斯拉跌超1%。

  如期暂停加息美联储暗示今年还有可能加息

  北京时间9月21日凌晨2点,美联储发布9月联邦公开市场委员会声明,以及今年第三份经济预期。用一句话来总结,虽然美联储今天没动政策利率,但通过经济预期给出了今年还有可能加息,以及明年降息预期减少的讯息。

(图片来源:美联储)

  如市场所料,美联储在9月会议上没有调整政策利率,继续维持在5.25%-5.50%的位置。与7月FOMC文本措辞对比来看,两者之间的差别非常小。美联储把经济活动扩张的措辞从适度(Moderate)改成了坚固(Solid),同时美联储也把就业增长的措辞改成“有所放缓,但依然维持强劲”,今天的决议一共就这两点变化。

(两份FOMC决议对比,图片来源:美联储)

  美联储继续“强烈承诺”将会把通胀拉回2%的目标,并在风险冒头时“酌情调整货币政策立场”。

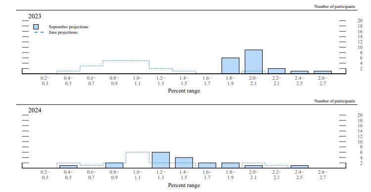
  最新的点阵图预期中值显示:多数FOMC委员继续保留年内还会有一次加息的预期,而2024年过半的利率点位已经跑到5%上方。这里有一个好消息是,支持维持现有政策利率的委员从3个月前的6人升至7人。拉美裔经济学家阿德里安娜·库格勒上周宣誓就任美联储理事,由于点位本身不署名,所以并不清楚多出的这一个点是否就是库格勒。

(9月、6月FOMC对比图,来源:美联储)

  有评论认为,本次点阵图中,联储对明年的展望明显更为鹰派,这是最影响市场的一点。6月的上次点阵图中,最高频的预期明年利率水平为4.375%,而本次点阵图显示在4.875%到5.375%之间。

  美联储上调明后年利率预期

  会后公布的联储官员利率预测中位值显示,联储官员保持今年的利率预期不变,同时上调了明年与后年、即2025年的利率预期。而从明年预期中值看,明年将在今年加息后的基础上有两次25个基点的降息。具体预测如下:

  2023年底的联邦基金利率持平今年6月公布的预期水平5.6%。

  2024年底的联邦基金利率为5.1%,较6月预计的4.6%高50个基点。

  2025年底的联邦基金利率为3.9%,较6月预期3.4%高50个基点。

  2026年底的联邦基金利率为2.9%。

  预计此后长期联邦基金利率预期为2.5%,持平6月预期。

  除了点阵图以外,FOMC委员们对美国经济的展望也呈现出“GDP增速上升、通胀持续顽固”的特征。

  在最新的经济预期中,委员们对2023年美国实际GDP的中值预期从三个月前的1%跳涨至2.1%,2024年的经济增速预期也从1.1%上升至1.5%,长期经济增速预期则维持在1.8%。与此同时,FOMC对未来三年失业率的中值预期也收缩至4%附近,均有不同程度的下降。

(美联储FOMC委员GDP增速预期分布图,虚线为6月时的预期,图片来源:美联储)

  对于通胀前景展望,绝大多数美联储FOMC委员给出的预判是:不论是PCE指数还是去掉食品、能源价格的核心PCE指数,到2025年距离2%的目标还会有一点点差距。

  美联储FOMC声明及主席鲍威尔新闻发布会要点总结:

  一、利率方面

  美联储将联邦基金利率目标维持在5.25%至5.50%的区间不变。

  美联储主席鲍威尔表示,如果合适,准备进一步提高利率;将会逐次会议做出决策。

  FOMC声明显示,12位官员预计今年还会加息一次,7位官员预计维持不变。

  美联储掉期显示交易员将首次降息推迟到明年九月份。

  FOMC声明显示,将隔夜逆回购利率维持在5.30%不变。

  美联储主席鲍威尔表示,美联储在今年最后两次会议上做出的决策将取决于全部数据的综合情况;从未打算就任何降息的时间发出信号,在适当的时候会有降息的时机。

  美联储点阵图显示,预计2023年年底的联邦基金利率为5.6%,预计2024年年底的联邦基金利率为5.1%。

  美联储主席鲍威尔表示,美联储并未就利率是否具有足够限制性做出决策。

  美联储主席鲍威尔表示,强劲的经济活动是需要采取更多利率措施的主要原因;中性利率可能已经上升,中性利率可能高于长期利率。

  美联储主席鲍威尔表示,加息导致经济衰退“始终是一个担忧”。

  二、美国经济:

  FOMC经济预期显示,上调美国2023年GDP增长预期至2.1%,上调美国2024年GDP增长预期至1.5%。

  FOMC经济预期显示,2023至2025年底核心PCE通胀预期中值分别为3.7%、2.6%、2.3%。

  FOMC经济预期显示,2023至2025年底失业率预期中值分别为3.8%、4.1%、4.1%。

  FOMC声明显示,经济活动增长稳健,重申信贷收紧可能会打压经济活动。

  美联储主席鲍威尔表示,美国实际GDP增长超出预期,GDP增长受到强劲的消费支出推动。

  美联储主席鲍威尔表示,美联储预计8月份核心PCE将同比上涨3.9%。

  美联储主席鲍威尔表示,降低通胀的前提是GDP增速一段时期内低于趋势水平。

  美联储主席鲍威尔表示,不会将软着陆称为基线预期,软着陆是有可能实现的,必须谨慎行事;软着陆是FOMC的主要目标。

  美联储主席鲍威尔表示,如果经济表现比预期更强劲,这意味着美联储将不得不采取更多措施来降低通胀。

  美联储主席鲍威尔表示,FOMC坚决致力于将通胀率降到2%。

  三、金融市场:

  FOMC声明显示,美联储将继续保持国债和抵押贷款支持证券的减持速度不变。

  FOMC声明显示,美国银行体系稳健且具有弹性。

  美联储主席鲍威尔表示,紧缩政策的效果尚未完全显现,当前的货币政策立场具有限制性。

  美联储主席鲍威尔表示,长期收益率的上升主要与通胀预期无关,更多的是与经济增长和国债供应有关。

  四、其他方面:

  美联储主席鲍威尔表示,政府停摆通常对宏观经济影响不大。

  美联储主席鲍威尔表示,FOMC绝对不会就汽车工人罢工表态。

  ③美联储主席鲍威尔表示,持续的高能源价格将影响通胀预期。

  ④美联储主席鲍威尔表示,倾向于忽略能源价格的短期波动,能源价格对经济走势没有太大的指示作用。

  ⑤美联储主席鲍威尔表示,住房供应受结构性限制。

  ⑥美联储主席鲍威尔表示,家庭和企业资产负债表比预期更强劲。